Birmingemo universiteto mokslininkai pristatė PIRAN
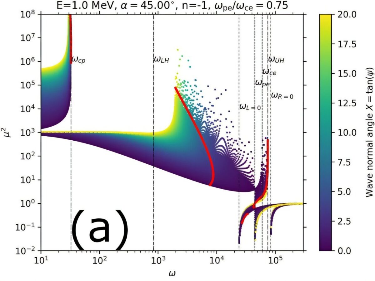
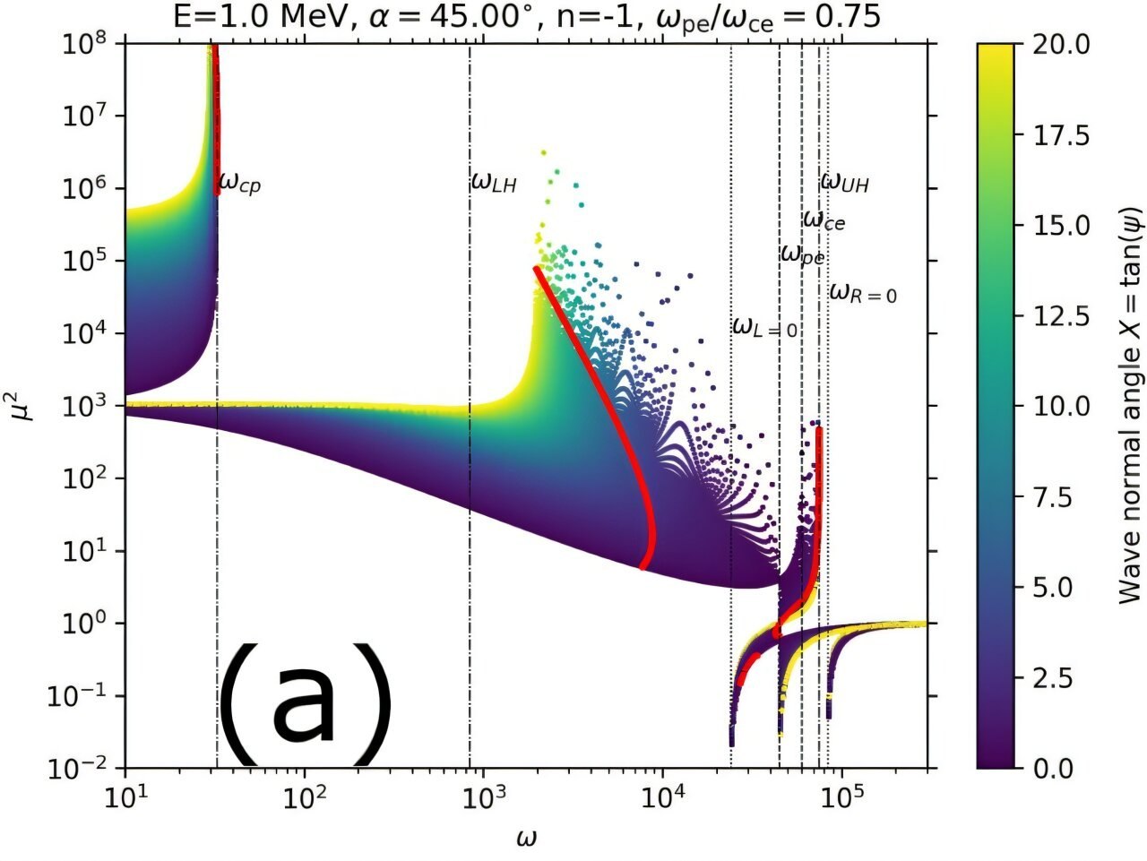
Birmingemo universiteto mokslininkai sukūrė PIRAN – pirmąjį visiškai atvirą Python pagrindu veikiantį įrankį, skirtą kosminės oro modeliavimui. Šis įrankis apskaičiuoja reliatyvistinius difuzijos koeficientus, kurie yra būtini norint suprasti elektronų elgseną Žemės radiacijos juostose.
Kosminės oro modeliavimas tampa vis svarbesnis
Aukštos energijos elektronai gali pakenkti palydovams, o radiacijos juostų dinamika yra svarbi prognozuojant ryšio, energijos sistemų ir žmonių skrydžių sąlygas. Šių koeficientų skaičiavimas yra sudėtingas procesas, nes reikia vidutinti daugybę bangų ir dalelių sąveikų sudėtingoje plazmoje.
PIRAN – atviras ir prieinamas įrankis
Anksčiau kiekviena tyrėjų grupė laikė savo kodą privačiai, tačiau PIRAN, sukurtas kartu su Los Alamos nacionaline laboratorija, Ekseterio universitetu ir Northumbria universitetu, yra visiškai atviras ir parašytas Python kalba. Jis lengvai skaitomas, keičiamas ir jau atkuria klasikinių kodų rezultatus. Šis įrankis apima abu pagrindinius tokių skaičiavimų metodus.
Ateities galimybės
Šiuo metu PIRAN yra visiškai išbandytas elektronų difuzijos koeficientams, veikiant vistlerio bangoms visiškai jonizuotoje šaltoje protonų-elektronų plazmoje. Ateityje į jį gali būti įtraukti kiti bangų tipai, dalelės ir plazmos sudėtys. Tokia atvirumo politika jau seniai buvo laukiama radiacijos juostų modeliavime.

